1. Introdução: O Pesadelo do “Faltou Tijolo”
Você já passou pela situação constrangedora de ter que ligar para o depósito de material no final da obra pedindo mais 50 tijolos para fechar uma parede? Ou pior: ver uma pilha de mil tijolos sobrando no canteiro, com o cliente olhando torto para o desperdício do dinheiro dele?
O Cálculo de Tijolos e Argamassa é uma das primeiras tarefas de planejamento, mas infelizmente, muitos engenheiros e mestres de obra ainda confiam apenas na “experiência” ou em contas de padaria.
O resultado? Desperdício médio de 8% a 15% em materiais de alvenaria no Brasil. Isso corrói o lucro da construtora e a confiança do proprietário.
Neste guia completo, vou te ensinar o método exato de Cálculo de Tijolos e Argamassa, considerando as juntas, os rasgos de portas e janelas, e a margem de segurança técnica correta. Pegue sua calculadora e vamos lá.
2. O Passo Zero: Escolhendo o Bloco Correto
Antes de iniciar qualquer Cálculo de Tijolos e Argamassa, você precisa definir qual bloco será usado. O tamanho do bloco muda drasticamente a quantidade por metro quadrado (m²).
Não adianta calcular a área da parede se você não sabe se vai usar tijolo baiano, bloco de concreto ou tijolo maciço. Veja a tabela de referência dos mais usados:
| Tipo de Bloco | Dimensões (LxAxC) | Uso Comum | Peças/m² (aprox) |
| Bloco Cerâmico 8 furos | 9 x 19 x 19 cm | Vedação Interna | 25 un/m² |
| Bloco Cerâmico 6 furos | 14 x 19 x 29 cm | Vedação Externa | 16,5 un/m² |
| Bloco de Concreto Estrutural | 14 x 19 x 39 cm | Alvenaria Estrutural | 12,5 un/m² |
| Tijolinho Maciço | 5 x 10 x 20 cm | Detalhes/Churrasqueira | 80 un/m² |
Nota: As quantidades acima consideram a peça “seca”, sem contar a argamassa.
3. Como Fazer o Cálculo de Tijolos e Argamassa (Passo a Passo)

Para chegar no número exato, não basta dividir a área da parede pela área do tijolo. O segredo do Cálculo de Tijolos e Argamassa preciso está na junta de assentamento.
A argamassa ocupa espaço. Se você ignorar isso, vai comprar tijolo demais.
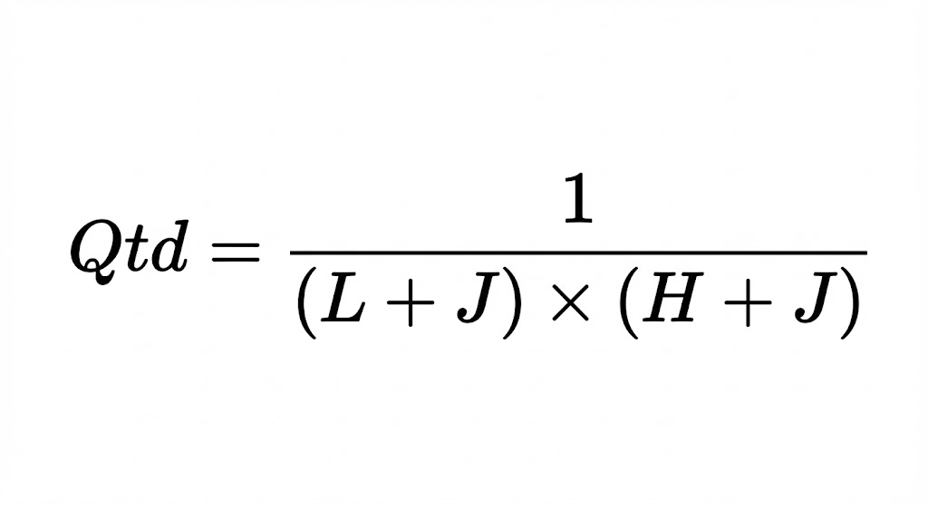
A Fórmula Real:
Para descobrir quantos tijolos cabem em $1 m^2$, usamos a seguinte lógica:

Onde:
- L = Comprimento do tijolo (em metros).
- H = Altura do tijolo (em metros).
- J = Espessura da Junta (geralmente 1,0 cm ou 1,5 cm).
Exemplo Prático:
Parede de 3,00m x 2,80m ($8,4 m^2$).
Tijolo Baiano (19×19 cm).
Junta de 1,5 cm.
- Dimensão com Junta: O tijolo de 19cm vira 20,5cm (0,205m).
- Área da Peça: 0,205 x 0,205 = 0,042 m².
- Peças por m²: 1 / 0,042 = 23,8 tijolos.
- Total da Parede: 23,8 x 8,4 m² = 199,9 tijolos.
Viu a diferença? Se não contasse a junta, você calcularia 27 tijolos/m², errando em quase 15% para mais.
4. O Vilão Oculto: Cálculo da Argamassa de Assentamento
Muitos acertam no tijolo, mas erram feio no Cálculo de Tijolos e Argamassa quando o assunto é cimento e areia.
Faltar argamassa para a obra. O pedreiro fica parado esperando chegar areia. Isso é custo de improdutividade.
Para calcular o volume de argamassa, você precisa calcular o “vazio” da parede.
$$Volume Argamassa = (Area Parede x Espessura) – (Total Tijolos x Volume Tijolo)
Uma regra prática de campo para tijolos cerâmicos (furos) assentados em pé (espessura 9 a 14cm) é estimar entre 15 a 20 litros de argamassa por m².
Traço Recomendado (1:2:9):
Para assentamento, não precisamos de alta resistência, mas sim de “liga” (trabalhabilidade).
- 1 Lata de Cimento.
- 2 Latas de Cal Hidratada.
- 9 Latas de Areia Média.
5. Descontando Vãos (Portas e Janelas)
No Cálculo de Tijolos e Argamassa, o desconto de vãos é polêmico.
Alguns empreiteiros cobram a parede cheia (“vão menor que 2m² não desconta”). Mas na compra de material, você deve descontar, senão vai sobrar muito tijolo.
A Regra de Ouro:
- Calcule a área total da alvenaria (Comprimento x Altura).
- Some a área de todas as portas e janelas.
- Subtraia a área das aberturas da área total.
- Aplique a margem de perda apenas sobre o volume líquido.
6. Margem de Perda: Quanto Comprar a Mais?
Mesmo com o melhor Cálculo de Tijolos e Argamassa do mundo, tijolos quebram no transporte, na descarga e no corte (fazer metades para amarração).
A tabela de perda recomendada pela TCPO é:
| Material | Perda Recomendada |
| Blocos de Concreto (Modulares) | 3% a 5% |
| Tijolos Cerâmicos (Vedação) | 8% a 10% |
| Tijolos Maciços (Aparentes) | 10% a 15% |
| Argamassa de Assentamento | 15% a 20% |
Atenção: Se a equipe for pouco qualificada ou o tijolo for de má qualidade (quebra fácil), aumente a perda para 15% nos blocos cerâmicos. É melhor sobrar 20 tijolos para um reparo futuro do que faltar.
7. Conclusão: Engenharia é Precisão
Fazer um bom Cálculo de Tijolos e Argamassa é o que separa o engenheiro gestor do “tocador de obra”.
O controle de materiais afeta diretamente o fluxo de caixa. Comprar certo significa que sobra dinheiro para investir em acabamentos melhores ou aumentar a margem de lucro da construtora.
Não deixe essa conta na mão do pedreiro. Assuma o controle do almoxarifado.
📉 Automatize seu Levantamento (Pare de Calcular na Mão)
Fazer essas contas de L + J, descontar porta, calcular volume de argamassa e traço de cimento para uma casa inteira demora horas e é fácil errar uma vírgula.
Se você quer fazer o Cálculo de Tijolos e Argamassa em segundos, eu recomendo usar o meu Kit Dimensionamento Ágil.
Dentro dele, existe a Calculadora de Alvenaria e Revestimentos.
Você só coloca:
- Metragem linear da parede.
- Tipo de tijolo.
- Tamanho das portas/janelas.
E a planilha te entrega:
- ✅ Quantidade exata de Tijolos (já com a perda).
- ✅ Volume de Areia, Cimento e Cal (em latas ou m³).
- ✅ Custo estimado do material.
Além disso, o Kit inclui planilhas para Concreto, Telhados e Hidráulica.

